By Maryam Ahsan
Expansion of the universe is an uncontested fact in modern cosmology. The Big Bang Theory describes a universe that began as a singularity, expanding into the vastness of space, with its ultimate fate still a topic of debate—will it continue to expand indefinitely, collapse into a singularity, or settle into a static state? While scientists ponder the universe’s distant future, a more immediate issue demands attention: the Hubble Tension, which may require more precise measurements or could even point to new physics.
The Expanding Universe
The concept of an expanding universe was first evidenced by Edwin Hubble’s discovery of Hubble’s law. This law relates the velocity v of recession of galaxies to their distance d from Earth, providing the first empirical evidence that the universe is expanding. Hubble’s law is expressed as:

where H0 is the Hubble Constant, which describes the rate of expansion at the current epoch. This expansion is further corroborated by the redshift of light from distant galaxies, given by:

where z is the redshift, and anow and athen are the scale factors at the current and and earlier times, respectively.
The scale factor a(t) is one of the most important quantities in the cosmology, as it describes the evolution and nature of the universe’s expansion. Its form is described by the Friedmann equations, which are derived from Einstein’s General Theory of Relativity. This theory conceptualizes gravity as the curvature of spacetime caused by mass and energy, formulated through the Einstein field equations:

where:
- Ruv and R are the Ricci Curvature Tensor and Ricci Scalar, respectively.
- guv is the metric tensor describing the spacetime geometry and Tuv is the stress-energy tensor, representing the distribution of matter and energy.
- Λ and G are the cosmological constant (associated with dark energy) and gravitational constant, respectively.
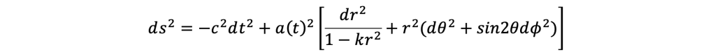
For a homogeneous and isotropic universe described by the FRW (Friedmann–Robertson–Walker) spacetime,

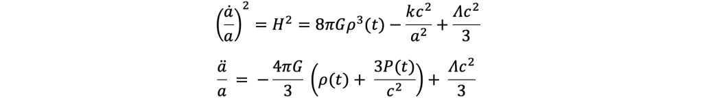
the Einstein field equations can be simplified to the Friedmann equations,

where:
- a(t) is the scale factor, and the dots represent derivatives w.r.t time.
- H is the Hubble Parameter at time t.
- ρ is the energy density of the universe and P is pressure.
- k is the curvature parameter, determining the geometry of the universe (0 for flat, +1 for closed, -1 for open).
The Hubble parameter varies with time depending on factors like energy density and spatial curvature, with its present value known as the Hubble Constant.
The Significance of the Hubble Constant in Cosmology
The Hubble Constant is not just a measure of the expansion rate but is fundamental to understanding various aspects of the universe:
- Age of the Universe: The age of the universe t0 can be estimated by inverting the Hubble Constant,

For example, with H0 around 70 km/s/Mpc, the age of the universe is roughly 14 billion years. Precise determination of H0 refines our estimate of the universe’s age.
- Structure and Evolution of the Universe: H0 feeds into the ΛCDM model (Lambda Cold Dark Matter model), the standard model of cosmology. It helps determine the density parameters Ωm (matter density) and ΩΛ (dark energy density), influencing the universe’s geometry, expansion history, and ultimate fate.
Discrepancy in Measurements
The Hubble Tension arises from the disagreement between two primary methods of measuring H0:
- Standard Candles: Using the distance ladder, astronomers measure H0 by observing the light from standard candles, such as Cepheid Variables and Type Ia supernovae. These measurements typically yield a higher value of H0, around 73 km/s/Mpc.
- Cosmic Microwave Background (CMB) Measurements: The CMB is the afterglow of the Big Bang, providing a snapshot of the universe as it was 380,000 years after its formation. Two key missions—WMAP (Wilkinson Microwave Anisotropy Probe) and PLANCK—have provided high-precision data on the CMB. By analyzing this data and applying the ΛCDM model, these missions inferred a lower H0 value, around 67.4 km/s/Mpc.
This discrepancy hints at the need to either modify the current cosmological model or improve our measurements. In an attempt to resolve this issue, astronomers have turned to a new kind of standard candle: red giants. They are used as standard candles due to the predictable nature of their luminosity. Specifically, the Tip of the Red Giant Branch (TRGB) marks a well-defined point in their evolution where they reach a consistent peak brightness before undergoing helium flash. This consistency in brightness allows astronomers to measure distances to galaxies by comparing the observed brightness of these stars to their known intrinsic luminosity.

Ref: Freedman W. L., et al. Astrophys. J. 882 34 (2019).
Over the years, the use of red giants has provided increasingly precise distance measurements. Initially, the method was less accurate due to challenges in identifying the TRGB point and calibrating its absolute magnitude. However, advancements in telescopic resolution and data analysis have led to more refined measurements, improving our understanding of cosmic distances. Yet, a problem persists: using TRGB yields a value of H0 of 67.4 ± 1.9 km/s/Mpc. This result, when considered on its own, appears to be in agreement with both CMB measurements and nearby standard candles.
Each method’s increasing precision has also highlighted discrepancies, contributing to the ongoing debate known as the Hubble Tension. The differing results suggest that while we are getting closer to a precise value, there may still be unknown factors or new physics that need to be considered. Resolving the Hubble Tension will either require more precise measurements to rule out any errors or a new model of cosmology.
Final Words and a New Hope
To address the Hubble Tension, some theories suggest modifications to gravity or the presence of a dynamic dark energy field. However, in the near future, the cosmology community is pinning its hopes on the James Webb Space Telescope (JWST). With its high resolution and sensitivity, JWST is expected to provide valuable insights that could illuminate the debate. By observing distant galaxies and refining measurements of standard candles like red giants and Cepheid variables, JWST may help resolve the discrepancies and refine our understanding of the universe’s expansion rate.
While we await the JWST’s verdict on the Hubble Tension, stay tuned to NPAS’s social media channels for an inside look at the making of the James Webb Space Telescope. Exciting insights are on the way—don’t miss out!